🧮 17 Ejercicios de Fracciones Resueltos Paso a Paso
- Artemiy Rovinski

- 25 oct
- 2 Min. de lectura
¿Te cuesta trabajo entender las fracciones? No estás solo. La mayoría de estudiantes que hoy dominan las matemáticas empezaron confundidos con los números fraccionarios. Pero la diferencia está en cómo practicaron.
En Mateguapo valoramos el esfuerzo diario. No tiene que ser mucho, pero tiene que ser constante.
Por eso hoy te comparto 17 ejercicios de fracciones resueltos que van subiendo poco a poco en dificultad, para que mejores tu razonamiento y te prepares para lo que viene: el siguiente nivel con el GuapoPase.
🧩 Nivel 1: Ejercicios resueltos de fracciones básicos
💡 Estos son ideales para recordar cómo funcionan las operaciones básicas entre fracciones con igual y distinto denominador.

Solución:
Tenemos 3 partes de un total de 3. Es decir:


Solución:


Solución:


Solución:
Para estos ejercicios de división tenemos que recordar que la división es en realidad una multiplicación: la multiplicación por el inverso aditivo del número por el que dividimos.
Puedes aprender más de esto en el curso completo de Álgebra de Mateguapo :)
En este caso el inverso multiplicativo de 1/5 es 5 = 5/1. Por lo que tenemos:

⚙️ Nivel 2: Ejercicios resueltos de fracciones intermedios
💪 Aquí ya no se trata de memorizar pasos, sino de razonar los números. Este tipo de ejercicios son los que te preparan para el álgebra.

Solución:


Solución:


Solución:


Solución:


Solución:
De nuevo, ante la división recordamos que "dividir" significa multiplicar por el inverso aditivo como vemos en el curso completo de Álgebra.
En este caso, buscamos el inverso aditivo del número (2/3 + 1/6). Y obtenemos:

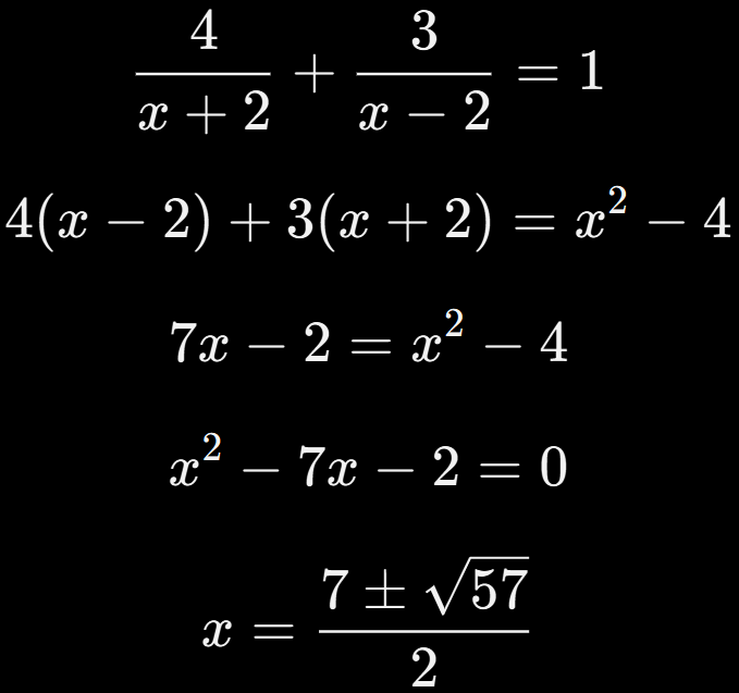
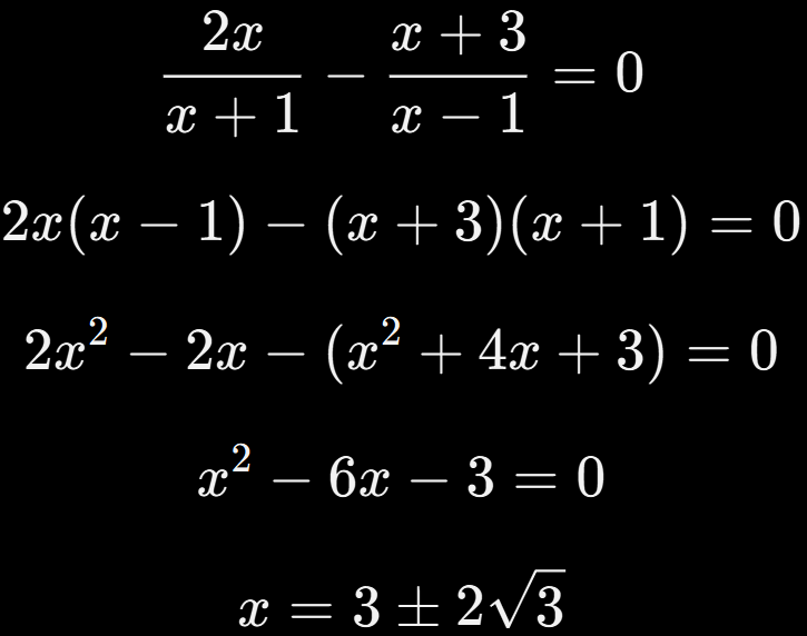
🧠 Nivel 3: Ejercicios resueltos de fracciones avanzados
🔥 Estos ejercicios tipo “fracción algebraica” te preparan para el Cálculo Diferencial e Integral. Así de importante es dominar las fracciones.

Solución:


Solución:


Solución:


Solución:


Solución:

🎯 Nivel 4: Ejercicios de fracciones resueltos con contexto real
📘 Estos ejercicios muestran cómo las fracciones no solo están en el papel... están en todo lo que hacemos.
• En una receta se usa 3/4 de taza de harina y 2/3 de taza de azúcar. ¿Cuánta cantidad total se necesita?
Solución:

• Si una empresa entrega 5/8 de su producción el lunes y 3/10 el martes, ¿qué parte queda sin entregar?
Solución:

• Una persona corre 2/5 de una pista de atletismo, se detiene a descansar, y después recorre otro 1/4 de pista. ¿Qué fracción del recorrido completo ha hecho?
Solución:

🚀 Da el siguiente paso: ¡Aprende en serio con un GuapoPase!
Practicar estos ejercicios de fracciones es un excelente comienzo, pero si de verdad quieres entender las matemáticas, necesitas un espacio estructurado, moderno y divertido donde aprendas a tu ritmo.
👉 En Mateguapo puedes obtener acceso a TODOS los cursos de la plataforma (Álgebra, Funciones, Gráficas, y más) con un solo plan: el GuapoPase.
✅ Acceso por el tiempo que elijas
✅ Explicaciones claras con ejemplos visuales
✅ Ejercicios guiados y resueltos
✅ Avanza desde fracciones hasta matemáticas universitarias
🎓 Cientos de estudiantes ya están aprendiendo de forma diferente... y tú podrías ser el siguiente.
👉 Suscríbete hoy mismo en www.mateguapo.com/guapopases y deja que las fracciones dejen de ser tu problema para volverse tu punto fuerte.





Comentarios