🧠13 Ejercicios Difíciles de Factorización (Resueltos Paso a Paso)
- Artemiy Rovinski

- 12 jul
- 2 Min. de lectura
¿Ya dominaste lo básico de factorizar binomios y trinomios y ahora quieres ponerte a prueba en serio? Aquí tienes 13 ejercicios de factorización difíciles, diseñados especialmente para retar tu mente y poner en práctica TODO lo que sabes.
Estos no son los clásicos del libro de texto. Son ejemplos creativos, con combinaciones interesantes que sí pueden resolverse con lo que normalmente se enseña en clase, pero que no verás en cualquier lugar.
🧠 ¿Por qué practicar con ejercicios difíciles de factorización?
La factorización es la puerta de entrada a muchas otras áreas de las matemáticas: resolución de ecuaciones, álgebra lineal, cálculo, etc. Si solo sabes aplicar fórmulas de memoria, te vas a quedar corto. Por eso estos ejercicios de factorización te ayudarán a desarrollar verdadero razonamiento algebraico.
✅ 13 Ejercicios de Factorización Difíciles y Resueltos
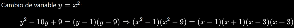
Factoriza:

Solución:

Factoriza:

Solución:

Factoriza:

Solución:

Factoriza:

Solución:

Factoriza:

Solución:

Factoriza:

Solución:

Factoriza:

Solución:

Factoriza:

Solución:

Factoriza:

Solución:

Factoriza:

Solución:

Factoriza:

Solución:

Factoriza:

Solución:

Factoriza:

Solución:

🧪 ¿Cómo seguir practicando?
Si estos ejercicios de factorización te gustaron y te sirvieron para repasar, aquí viene lo bueno:
📚 ¿Quieres aprender a factorizar con claridad y sin miedo?
En Mateguapo.com tenemos los cursos completos que te enseñan desde lo más básico hasta lo avanzado:
📚 Álgebra (completo) - desde cero.
📚 Cálculo Integral en 1 variable (completo) - nivel universidad.
📚 Cálculo Diferencial en 1 variable (completo) - nivel universidad.
Aquí tienes de regalo una clase GRATIS de Cálculo :)
🎯 Ventajas de estudiar con nosotros:
Acceso por el tiempo que necesites, adaptado a ti
Puedes preguntar lo que quieras
Ejercicios explicados paso a paso
Ejemplos reales y útiles
Todo pensado para carreras científicas 🚀
¡Allá nos vemos! 😉





Comentarios